GPT-OSS: Cú phản đòn của OpenAI và cơ hội kiến tạo hệ sinh thái AI Việt Nam
Một mô hình AI 120 tỷ tham số, hỗ trợ lý luận đa cấp, chain-of-thought, công cụ Python và web search, giấy phép Apache 2.0, miễn phí, và chạy được cục bộ.
Một mô hình AI 120 tỷ tham số, hỗ trợ lý luận đa cấp, chain-of-thought, công cụ Python và web search, giấy phép Apache 2.0, miễn phí, và chạy được cục bộ. Câu hỏi không còn là "liệu ta có nên dùng", mà là "ta sẽ làm gì với nó?"
Ngày 6/8/2025, OpenAI bất ngờ phát hành hai mô hình open-weight đầu tiên kể từ GPT-2 (2019): gpt-oss-120b và gpt-oss-20b.
Với cộng đồng AI mã nguồn mở thì đây là một chấn động mang tính chiến lược trong khi mọi người đang chờ sự ra mắt của GPT-5.
Trong bài này, tôi sẽ không dừng lại ở thông số. Ta sẽ cùng phân tích:
Mặt kỹ thuật: GPT-OSS khác gì Mistral, LLaMA, DeepSeek?
Mặt chiến lược: Vì sao OpenAI "mở" lại sau nhiều năm "đóng"?
Mặt thực tiễn: Doanh nghiệp, nhà nghiên cứu, startup Việt Nam nên làm gì với GPT-OSS?
1. Kiến trúc: Hiệu năng cao trên hạ tầng thấp
Khác với các mô hình dense như GPT-3.5 hay Mistral 7B, GPT-OSS sử dụng kiến trúc Mixture of Experts (MoE):
gpt-oss-120b: có 120B tham số, nhưng chỉ kích hoạt 5.1B mỗi bước tính toán.gpt-oss-20b: 20B tham số, kích hoạt 3.6B.
Điều này đồng nghĩa:
Mô hình lớn hơn – nhưng yêu cầu phần cứng thấp hơn.
Có thể chạy inference với 1 GPU H100 hoặc laptop RAM 16GB nếu dùng
gpt-oss-20b.Tối ưu cho throughput, thích hợp cho microservice hoặc chatbot tốc độ cao.
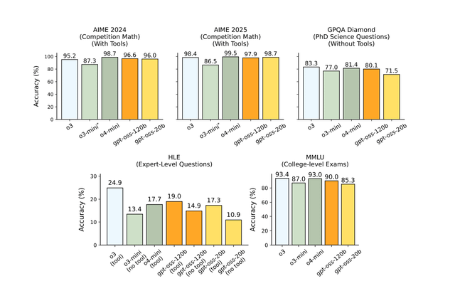
Hiệu năng?
Trên benchmark reasoning như AIME, MMLU, GPQA, GPT-OSS đạt gần ngang ngửa:
gpt-oss-20b≈ o3-minigpt-oss-120b≈ o4-mini
2. Tính năng: Lý luận đa cấp, hỗ trợ công cụ, đầu ra có cấu trúc
Điểm đáng giá nhất là khả năng điều chỉnh mức độ lý luận (reasoning level):
Prompt:
reasoning=low|medium|highHỗ trợ Chain-of-Thought (CoT), đặc biệt có ích khi xây ứng dụng cần debug nội suy mô hình.
Có thể sinh đầu ra có cấu trúc: JSON, YAML, table...
Native support cho Python execution và Web Search nếu tích hợp đúng agent.
Với các tổ chức muốn xây:
Chatbot nội bộ: dùng tool use + structured output.
Tài liệu hóa thông minh: trích xuất và định dạng dữ liệu qua CoT.
Assistant ngành y, tài chính: tận dụng reasoning + custom instruction.
3. Giấy phép Apache 2.0: Khác biệt về triết lý
So với:
Meta (LLaMA 3, 4): CC-BY-NC-SA, không dùng thương mại tự do
Mistral, DeepSeek: tương đối mở nhưng không thuần Apache
Thì GPT-OSS với Apache 2.0:
Được sử dụng thương mại, tùy chỉnh, phân phối lại không cần xin phép.
Không "hơi mở" kiểu PR, mà là mở thật.
Và đây chính là đòn chiến lược của OpenAI:
Không chỉ cạnh tranh trên chất lượng mô hình, mà cả trên... giấy phép.
4. Tại sao OpenAI làm vậy? Một bước cờ chiến lược
Sau khi bị mất "tâm điểm cộng đồng" vào tay:
Meta (với LLaMA 3, 4 cực mạnh về ngôn ngữ châu Âu),
Mistral (với tốc độ và mô hình tiny),
DeepSeek rồi Moonshot AI, Alibaba (với ưu thế tiếng Trung và open-weight tốc chiến),
OpenAI không thể đứng ngoài làn sóng mã nguồn mở.
GPT-OSS là cách để:
Giữ chân cộng đồng dev đang chuyển dần sang open models.
Hút dữ liệu training mới (nếu ai fine-tune và chia sẻ lại).
Giữ vai trò dẫn dắt, tránh bị Meta "viết lại luật chơi".
5. Cơ hội cho Việt Nam: AI tự chủ và ứng dụng tại chỗ
✅ Startup Việt
Xây sản phẩm AI mà không lệ thuộc chi phí API (OpenAI, Anthropic).
Giữ dữ liệu nội địa cực quan trọng với fintech, y tế, giáo dục.
Dễ pivot vì fine-tune nhanh, triển khai linh hoạt, không lo giới hạn usage.
✅ Doanh nghiệp lớn
Deploy nội bộ để tạo Copilot riêng (VD: trợ lý quản trị, phân tích nội dung).
Không gửi dữ liệu nội bộ ra cloud, đảm bảo tuân thủ pháp lý và bảo mật.
✅ Giáo dục – Nghiên cứu
Sinh viên kỹ thuật có thể mổ xẻ mô hình, chạy local, tự fine-tune.
Các trường đại học (Bách Khoa, FPT, USTH...) có thể xây course AI nền tảng mà không tốn tiền cloud.
6. Bắt đầu thế nào?
Nếu bạn muốn thử:
# Tải từ Hugging Face
huggingface-cli download openai/gpt-oss-20b
# Hoặc chạy trực tiếp với Ollama
ollama run gpt-oss:20b
# Hoặc triển khai với vLLM cho inference server
python -m vllm.entrypoints.openai.api_server --model openai/gpt-oss-20b
Prompt mẫu để test chain-of-thought:
### Reasoning level: high
Câu hỏi: Nếu hôm nay là thứ Ba, thì 3 ngày trước là ngày nào?
Hãy suy luận từng bước.
7. Kết luận: Ta không thể chậm hơn nữa
AI không còn là đặc quyền của Big Tech.
GPT-OSS là một kho báu, còn đi hay không là lựa chọn của từng quốc gia, từng doanh nghiệp, từng người làm kỹ thuật.
Chúng ta không thiếu công cụ, chỉ thiếu một kế hoạch hành động.
Nếu bạn có trong tay GPT-OSS, hạ tầng vừa đủ, dữ liệu Việt và một chút tò mò, bạn sẽ xây gì?
Hãy để lại bình luận hoặc gửi email cho tôi. Biết đâu, ta có thể bắt tay dựng lên một hệ sinh thái AI thuần Việt từ những mô hình như thế này.
🧠 Viết trong đêm mất ngủ, khi tôi vẫn đang loay hoay chạy test trên Toghether AI và suy ngẫn về quyền lực của sự phân phối lại tri thức.





